Download Inhoudsopgave Inhoud Print deze pagina

Endress+Hauser Solitrend MMP42 Beknopte Handleiding pagina 22

Verberg thumbnails Zie ook voor Solitrend MMP42:
Inhoudsopgave
Inbedrijfname
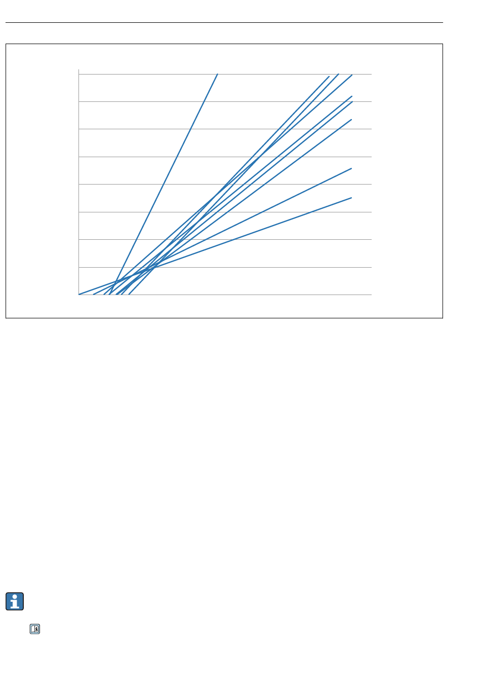
H [%]
80
70
60
50
40
30
20
10
0
60
 15
Kalibratiecurveset B (Cal.A, Cal.B, Cal.C, Cal.D, Cal.E, Cal.F, Cal.G, Cal.H, Cal.K)
H
Gravimetrisch vocht; %
t
Radarlooptijd; picoseconden
A
Cal.A, zonnebloemzaden
B
Cal.B, gerst met temperatuurcompensatie bij 60 °C (140 °F)
C
Cal.C, tarwe, maïs, rogge; met temperatuurcompensatie bij 60 °C (140 °F)
D
Cal.D, soja zonder temperatuurcompensatie
E
Cal.E, gerst zonder temperatuurcompensatie
F
Cal.F, tarwe, maïs, rogge; zonder temperatuurcompensatie
G
Cal.G, soja met temperatuurcompensatie bij 60 °C (140 °F)
H
Cal.H, koolzaad en oliezaden
K
Cal.K (Cal.14), lucht/water 0 ... 100 %
De grafiek toont de lineaire kalibratiecurves (Cal.A tot Cal.K) voor verschillende soortengraan
die zijn opgeslagen en kunnen worden geselecteerd in het instrument. Het gravimetrische
vochtgehalte (H) wordt als percentage aangegeven op de y-as en de bijbehorende
radarlooptijd (tp) in picoseconden wordt weergegeven op de x-as. De radarlooptijd wordt
tegelijkertijd getoond met de vochtwaarde gedurende de vochtmeting. In lucht meet de
instrumenten bij een radarlooptijd van circa 60 ps, en 145 ps in droge glazen parels.
Kalibratiecurveset A voor algemene stortgoedtoepassingen (bijv. zand, grind, kiezel,
houtsnippers) is leverbaar op aanvraag.
SD02333M Separaat display - beschrijving van de bediening en materiaalkalibratie.
22
110
160
A
210
260
Solitrend MMP42
B C
D
E
F
G
H
K
t [ps]
310
360
Endress+Hauser
A0044421
Inhoudsopgave
loading

Inhoudsopgave