Download Inhoudsopgave Inhoud Print deze pagina

Papierstoringen; Oplossingen Voor Draadloze Verbinding - Brother Hl-L5000D Referentie Gids

Verberg thumbnails Zie ook voor HL-L5000D:
Inhoudsopgave

Papierstoringen

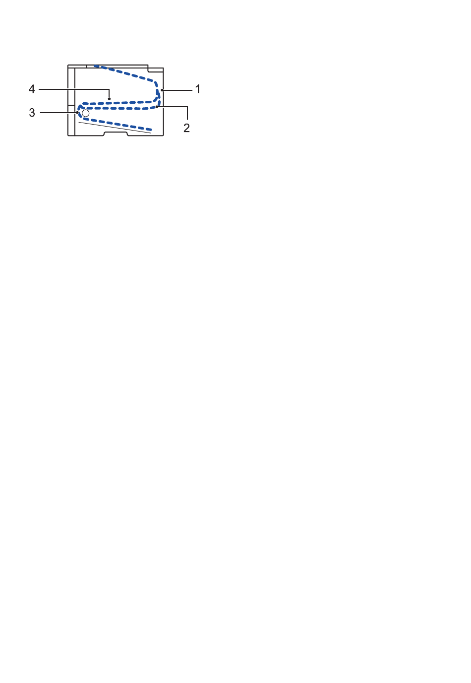
Een foutmelding geeft aan waar het papier vastgelopen is in de machine.
4
3
Foutmeldingen:
1. Vast: achter
2. Dubbelzijdig vastgelopen
3. Vast in lade
4. Vast: binnenin

Oplossingen voor draadloze verbinding

Als het niet lukt om uw Brother-machine te verbinden met een draadloos netwerk, raadpleegt u
de volgende onderwerpen:
• Online Gebruikershandleiding: Het WLAN-rapport afdrukken
• Installatiehandleiding: Alternatieve draadloze configuratiemethode
1
2
16
Inhoudsopgave
loading

Deze handleiding is ook geschikt voor:

Hl-l5100dnHl-l5100dntHl-l5200dwHl-l5200dwtHl-l6250dn

Inhoudsopgave