Download Inhoudsopgave Inhoud Print deze pagina

Ramp-Functie; Stationadres; Baudrate - Samson Trovis 6400 Inbouw- En Bedieningsvoorschrift

Verberg thumbnails Zie ook voor TROVIS 6400:
Inhoudsopgave
Configuratieniveau




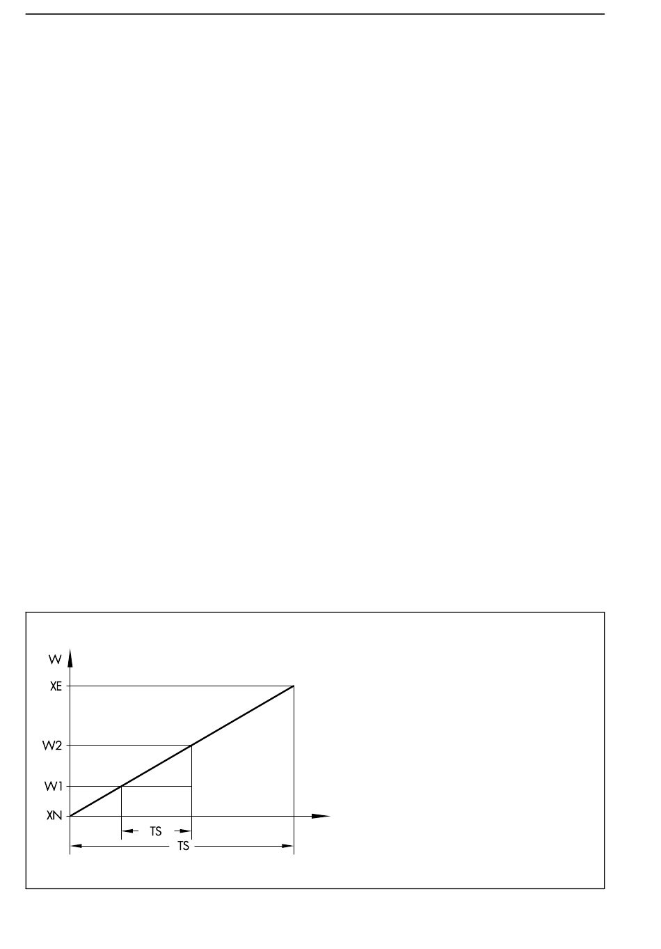
Fig. 6 ⋅ ramp-functie
22
 Ramp-functie op setpoint
Een ramp-functie is een verandering van de gewenste waarde met con-
stante snelheid. Met het configuratieblok  wordt de tijd voor het
doorlopen van het gehele gewenste waarde-bereik (" ... ") inge-
steld. De werkelijke tijd (TS1) voor een verandering van de gewenste
waarde rekent de industriële regelaar aan de hand daarvan uit (zie
Bild 6). Deze ramp-functie is actief voor iedere verandering van de ge-
wenste waarde.
In verband hiermee is configuratieblok ! = , zie blz. 18, van be-
lang. Deze zorgt ervoor dat door het inschakelen van de binaire in-
gang de gewenste waarde een X-tracking (W = X) uitvoert. Na het te-
rugschakelen van de ingang wijzigt de gewenste waarde met de door
 ingestelde snelheid tot de gewenste waarde is bereikt.
Waardebereik: eerst wordt  in aanwijsveld (2) getoond en de waar-
de in aanwijsveld (1) wordt in seconden gegeven (0 ... 1800 s), daar-
na verspringt de aanwijzing (2) op  en de tij d wordt in minuten
aangewezen (30 ... 500 min).
Voor uitschakelen moet de parameter op 0 worden ingesteld.
 Stationsadres
Uit
0
1 ... 246
 Baudrate (selectie van de overdrachtssnelheid van gegevens)
4800 bit/s
0
9600 bit/s
1
1
XN
Meetbereiksaanvang
XE
Meetbereikseindwaarde
W
gewenste waarde
W1
oude waarde gewenste waarde
W2
nieuwe waarde gewenste waarde
TS
ingestelde tijd voor ramp-functie ()
t
TS
berekende werkelijke tijd voor verandering
1
van de gewenste waarde van W1 naar W2
Bediening
Inhoudsopgave
loading

Deze handleiding is ook geschikt voor:

Trovis 6497

Inhoudsopgave